1. 链霉亲和素分子特性
首个细菌来源的亲和素——链霉亲和素(Streptavidin, SA)于1964年从分泌抗生素的阿维丁链霉菌(Streptomyces avidinii)中分离。与亲和素(Avidin)类似,SA是由四个相同的亚基组成的四聚体,分子量约为66KDa,每个亚基含159个氨基酸残基,分子量16.45KDa。每个亚基均可结合一份子生物素,即一分子SA可高度特异性地结合四分子生物素。 SA与生物素的结合特异性与抗体-抗原或受体-配体相当,但亲和力更高,是已知最强的非共价结合力之一(解离常数高达10-14 mol/L)。在完整SA单链中,Lys、Arg等碱性氨基酸含量比亲和素少,Asp、Glu等酸性氨基酸比亲和素多,因而其等电点(pI为5~6)远低于亲和素(pI 10.5),减少了因电荷引起的离子相互作用。此外,SA不含糖基,避免了与细胞表面糖结合蛋白的交叉反应。这些特性使SA广泛应用于生物学领域,尤其是需要使用生物素化试剂进行信号放大的免疫分析中。

图1 链霉亲和素分子结构
2. 生物素分子特性
生物素(Biotin)为B族维生素之一,又称维生素H、维生素B7、辅酶R、D-生物素等,是一种天然存在的生长因子,微量存在于所有细胞中。作为羧化反应中CO₂的辅因子和载体(辅酶R),它是多种生化过程的关键组分。
生物素分子结构包含两个环状结构:I环为咪唑酮环,是与链霉亲合素结合的主要部位;II环为噻唑环,上有一戊酸侧链,其末端羧基是用于连接抗体和其他生物大分子的唯一结构,生物素分子的独特结构使其能够与链霉亲和素形成极其稳定的复合物。生物素与链霉亲和素之间的结合是通过一系列非共价键实现的,包括氢键、静电相互作用、疏水作用和范德华力。生物素的咪唑酮环与链霉亲和素蛋白主链之间形成多个氢键,这些氢键是结合的关键驱动力,这种结合是立体特异性的,只有D-生物素(天然形式)能够与链霉亲和素形成稳定的复合物,而L-生物素则不能。

图2 D-生物素分子结构
商品化的生物素衍生物极大简化了生物素化操作,这些试剂兼具重要反应特性与功能特征。所有修饰试剂的分子结构均具有以下共性:一端为D-生物素的双环结构与戊酸侧链,另一端则为可与目标基团偶联的反应性官能团。在分子设计中可引入间隔基团,使生物素分子从被修饰分子表面延伸出来,从而确保其与链霉亲和素探针具有更优化的相互作用能力。链霉亲和素的生物素结合口袋深埋于蛋白质表面下约9Å处,间隔臂长度直接影响生物素化分子的结合效率。

图3 标准化生物素分子结构设计。
3. 链霉亲和素-酶复合物制备
链霉亲和素最常用的复合物形式是与ELISA系统用酶的偶联,其中辣根过氧化物酶(HRP)和碱性磷酸酶(ALP)的应用最为广泛,而β-半乳糖苷酶和葡萄糖氧化酶等酶类在临床重要分析物检测中应用较少。此外,链霉亲和素也常与显色/荧光分子(如铁蛋白或藻胆蛋白)交联,用于显微技术中对细胞或组织切片中特定抗原/受体进行染色定位。该部分内容主要介绍常用的链霉亲和素与HRP或ALP的偶联方案。
异双功能交联剂可精确控制蛋白质偶联度,避免过度聚合并调控终复合物中各组分摩尔比。常用的是能同时靶向氨基与巯基的NHS酯-马来酰亚胺交联剂,尤其是含环己烷桥键(赋予马来酰亚胺基团稳定性)及长间隔臂的琥珀酰亚胺基-4-(N-马来酰亚胺甲基)环己烷-1-羧酸酯(SMCC)及其磺酸酯化衍生物sulfo-SMCC。因链霉亲和素因缺乏游离巯基且二硫键难以还原,常采用2-IT(2-亚氨基硫烷)修饰SA,SMCC或Sulfo-SMCC修饰酶的策略。

图4 2-亚氨基硫烷(Traut’s试剂)修饰SA产生巯基,随后与SMCC活化的酶反应形成硫醚键连接的复合物。
4. 生物素化修饰
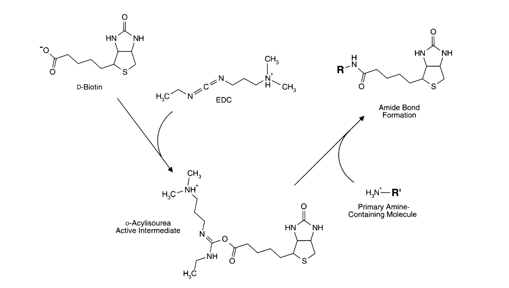
4.1 生物素(D-Biotin)
生物素戊酸侧链并不直接参与SA蛋白结合,可对其进行直接活化或衍生修饰。利用水溶性碳二亚胺EDC可使生物素与蛋白质伯胺基团反应:EDC活化羧酸基团形成高反应性中间酯,该酯随后与氨基偶联形成稳定的酰胺键。由此形成的生物素化分子仍能保持高亲和力结合特性。直接使用生物素修饰蛋白质的潜在缺陷在于其天然戊酸基团提供的间隔臂较短,某些应用需延长间隔臂以维持良好结合能力。

图5 EDC直接活化生物素,与含胺分子偶联,形成酰胺键
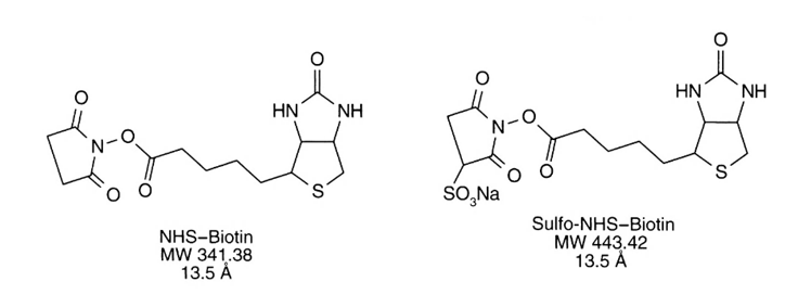
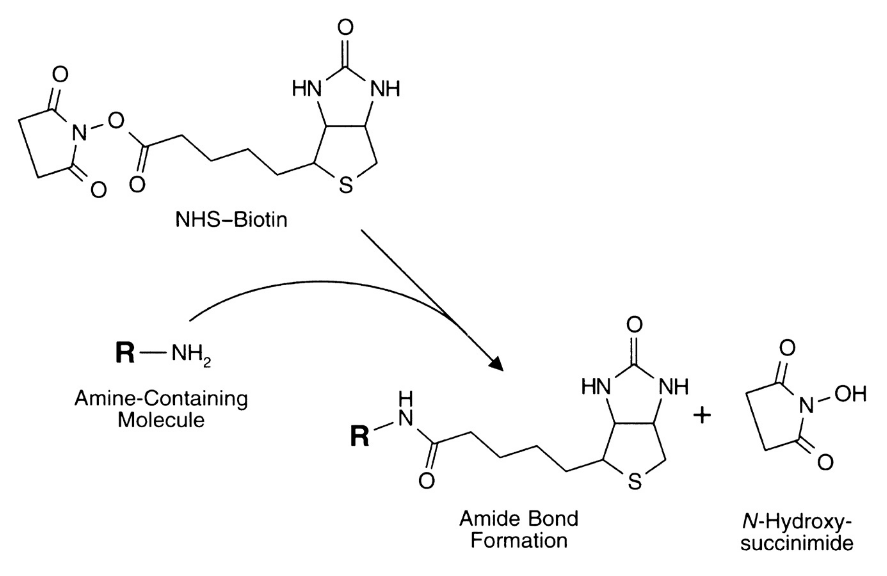
4.2 无间隔NHS-Biotin
NHS-Biotin(琥珀酰亚胺基生物素酯)通过生物素戊酸侧链的羧基与NHS酯活化形成,总长度约13.5 Å。其水溶性衍生物Sulfo-NHS-Biotin在NHS环上引入磺酸基负电荷,可直接溶于水相体系。

图6 NHS-Biotin、Sulfo-NHS-Biotin分子结构
NHS-Biotin需有机溶剂(DMF/DMSO)预溶,在pH 7-9条件下与伯胺(如赖氨酸ε-氨基)发生亲核取代反应,形成稳定的酰胺键。Sulfo-NHS-Biotin可直接水溶,反应机制与NHS-Biotin相同,但水解速率更快,需现配现用,适用于对有机溶剂敏感的蛋白质标记。修饰后的生物素酰胺键在生理条件下极为稳定,可耐受后续纯化步骤(如凝胶过滤或透析)。

图7 NHS-生物素的活性酯基团可与含胺化合物反应,形成酰胺键。
NHS-Biotin缺乏长间隔臂(仅13.5 Å),可能导致(链霉)亲和素结合位点空间阻碍,高密度标记时也可能导致蛋白质聚集。Sulfo-NHS-Biotin因磺酸基负电荷不易穿透细胞膜,适用于细胞表面特异性标记。
4.3 含LC间隔臂的NHS-Biotin
NHS-LC-Biotin是在生物素的戊酸侧链末端通过6-氨基己酸间隔臂(LC)连接NHS酯基团,形成总长度约22.4 Å的分子架构,显著长于无间隔臂NHS-生物素的13.5 Å。Sulfo-NHS-LC-Biotin在NHS环上引入磺酸基负电荷,赋予其水溶性(可直接溶于水相反应体系),而NHS-LC-Biotin需有机溶剂(如DMF/DMSO)预溶。

图8 NHS-LC-Biotin、Sulfo-NHS-LC-Biotin分子结构
长间隔臂克服了链霉亲和素结合位点深埋于蛋白表面下的空间阻碍(约9 Å),使结合效率提升5倍。NHS酯在pH 7-9条件下与伯胺(如赖氨酸ε-氨基)反应形成稳定酰胺键,建议标记蛋白与生物素的摩尔比在2:1~50:1范围内。高pH会加速NHS酯水解,避免含胺缓冲体系(如Tris)。

图9 NHS-LC-Biotin与含胺分子反应形成酰胺键。
NHS-LC-Biotin及其磺化衍生物通过长间隔臂优化了链霉亲和素结合效率,但疏水性限制了高密度标记应用。新型PEG化生物素试剂正逐步替代传统烷基链衍生物,尤其在需要长期稳定性的实验中(如抗体标记)。
4.4 含PEG间隔臂的NHS-Biotin
传统生物素化试剂(如NHS-LC-生物素)依赖疏水烷基链作为间隔臂,可能导致蛋白聚集或活性丧失。通过引入亲水性PEG链(聚乙二醇链)形成水合层,可显著提高修饰分子的溶解性。例如,NHS-PEG12-生物素的PEG12间隔臂(53.4 Å)比传统NHS-LC-生物素的C6链(13.5 Å)更长且亲水。PEG链的柔性可减少链霉亲和素结合位点的空间阻碍,提升结合效率。研究表明,PEG4间隔臂(29 Å)修饰的抗体与链霉亲和素的结合活性是烷基链试剂的2.5倍。NHS-SS-PEG4-生物素含二硫键,可用DTT还原释放生物素,适用于免疫沉淀后温和洗脱。

图10 NHS-PEGn-Biotin化合物分子结构
过度修饰可能影响蛋白功能。建议通过紫外检测(如NHS-显色基团-PEG3-生物素的A354 nm,ε=29,000 M⁻¹cm⁻¹)精确量化标记水平。对于膜蛋白标记,可选用亲水性更强的PEG化生物素(如PEG24)或光反应性试剂(生物素-PEG3-苯甲醛)。

图11 NHS–Chromogenic–PEG3–Biotin:从左至右依次为胺反应性NHS酯基团、显色双芳基腙基团(354 nm波长)、亲水性PEG间隔臂、D-生物素。
5. SA-Biotin在检测系统中的应用
链霉亲和素与生物素之间的非共价结合具有极高的亲和力,使其成为检测系统中的核心工具。每个链霉亲和素分子包含4个生物素结合位点,这种多价性可通过信号放大显著提高检测灵敏度。相较于传统的抗体直接标记法,SA–Biotin系统通过多层复合物的构建(如ABC法)可实现更低的检测限。
5.1 标记链霉亲和素-生物素系统(Labeled Streptavidin–Biotin, LAB):
生物素化抗体结合靶抗原→添加SA-酶(如HRP或碱性磷酸酶)偶联物→底物显色。其优点是操作简单,但信号放大能力有限。

图12 LAB检测系统
5.2 桥接链霉亲和素-生物素系统 (Bridged Streptavidin–Biotin, BRAB):
利用链霉亲和素的多价性,先结合生物素化抗体,再加入生物素化酶结合剩余位点,放大信号。其优点是通过SA的多价性,单个抗体可结合多个生物素化酶分子,灵敏度较LAB提高。

图13 BRAB检测系统
5.3 链霉亲和素-生物素复合物系统(Streptavidin–Biotin Complex, ABC):
通过预混SA与过量生物素化酶形成高分子量复合物,高分子复合物再结合生物素化抗体。此种预混形成的“酶-链霉亲和素-生物素”网状结构,显著放大了信号,适用于超微量检测(如ELISA和免疫组化)。

图14 ABC检测系统
5.4 微孔板固定化
传统药物筛选中,靶标蛋白常通过化学偶联(如氨基、羧基或巯基修饰)直接固定于微孔板表面。然而,直接化学修饰可能破坏蛋白质的活性中心或关键构象,导致功能丧失(如酶活性降低或受体结合位点遮蔽)。随机偶联也会导致蛋白取向混乱,增加非特异性结合背景。链霉亲和素-生物素系统提供了一种非共价、可逆的替代方案,能够保持蛋白质的天然构象和功能活性。该固定化策略通常包括三个关键步骤:微孔板表面的生物素化、链霉亲和素的结合以及目标蛋白的固定。
生物素化表面修饰:微孔板的塑料表面可以通过酯键或酰胺键与生物素共价结合,形成稳定的生物素化涂层。
链霉亲和素(SA)桥接:SA四聚体通过四个结合位点(Kd≈10⁻15 M)与板面生物素结合,形成单分子层。
靶标蛋白固定:生物素标记蛋白通过与链霉亲和素涂层结合,将蛋白连接到孔板表面。SA-生物素复合物可耐受pH 2-12、温度4-70℃及6M盐酸胍等极端条件。

图15 生物素化图层-SA-生物素化靶标物质结合示意图
链霉亲和素-生物素系统本身具有较低的非特异性结合,但仍需采取措施进一步减少背景信号。常用的策略包括使用适当的阻断剂(如牛血清白蛋白、脱脂奶粉或聚乙二醇)封闭未结合的表面位点,以及优化洗涤条件以有效去除未结合的分子。
6. 免疫检测中生物素干扰
基于生物素-链霉亲和素系统的化学发光免疫分析因高灵敏度、宽线性范围,被广泛应用于肿瘤标志物、激素、传染病等检测。外源性生物素(维生素B7)的广泛使用(美容、临床治疗等)导致其血药浓度升高,引发假阳性/假阴性结果。外源性生物素与试剂中的生物素标记物竞争结合链霉亲和素磁微粒,减少发光复合物形成,导致夹心法结果假性降低、竞争法假性升高。甲状腺功能检测中,生物素干扰可模拟Graves病(TSH↓、FT3/FT4↑);肌钙蛋白T假阴性可能漏诊心梗。
解决方案:
预结合设计:在制造阶段,将生物修饰蛋白直接包被在链霉亲和素磁微粒上,并对剩余的SA位点进行封闭,可以显著改善生物素干扰;如西门子Centaur平台上的FT4、PTH、丙型肝炎病毒抗体等项目。
抗生物素化体:罗氏公司于 2019 年开发出了一种生物素抗体,能特异性结合游离生物素,而对标记于抗体表面的生物素不结合,可作为抗干扰组分添加至反应体系中,以减少生物素干扰。
增加结合位点:提高磁珠包被的链霉亲和素浓度(高载量SA磁微粒)或适当增加SA磁微粒浓度,可在一定程度上改善样本中游离生物素的干扰。
链霉亲和素-L-生物素体系:通过D-氨基酸合成镜像链霉亲和素,特异性结合L-生物素,避免天然D-生物素干扰。
参考文献:
[1] Hermanson G T. 11. (strept)avidin–biotin systems[M/OL]//Bioconjugate Techniques. Elsevier, 2013: 465-505..
[2] 程振球, 章谷生. 链霉亲和素的特性及其应用(文献综述)[J]. 上海免疫学杂志, 1992(1): 56-59..
[3] 宋晓荣, 张海珠, 刘世国, 等. 生物素-链霉亲和素技术一步法检测人心肌肌钙蛋白T[J]. 郑州大学学报(医学版), 2004(2): 241-243.
[4] 孔令青, 李勇, 高洪, 等. 生物素-亲和素标记技术[J]. 动物医学进展, 2008(4): 100-102.
[5] 刘栋, 仝慧, 陈斌, 等. 外源性生物素对基于生物素-链霉亲和素化学发光技术干扰的研究进展[J]. 现代检验医学杂志, 2021, 36(3): 161-164.
[6] Suganuma M, Kubo T, Ishiki K, et al. Mirror-image streptavidin with specific binding to L-biotin, the unnatural enantiomer[J]. Sci. Rep., 2022, 12(1): 9568.

公司名称:重庆集臻生物技术有限公司
地址:重庆市自由贸易试验区西园北街12号
网址:www.cn-jzbio.com
【集臻生物】
---专注于金纳米材料、银纳米材料、磁性纳米材料设计、合成、表面功能化修饰及生物医学应用。
---提供玻片、硅片、各种聚合物塑料材质表面定制化修饰:氨基、醛基、环氧基、PEG、多聚赖氨酸修饰,以及抗凝、抗菌处理等。